令和6年度入試過去問題 一般(数学 問題)(1ページ目)|麗澤瑞浪高等学校の入試過去問

れいたくみずなみこうとうがっこう

麗澤瑞浪高等学校

(高等学校 /私立 /共学 /岐阜県瑞浪市) >>お気に入りに追加する

パンフをもらおう

※ 資料・送料とも無料

入試過去問題一覧へ

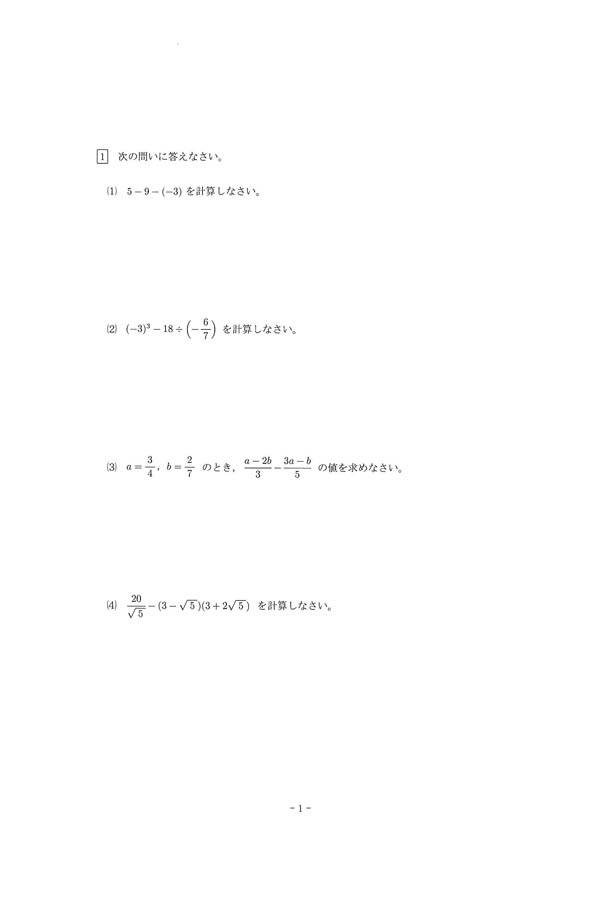
令和6年度入試過去問題 一般[1/12]

※掲載している入試過去問題の画像は全て、各学校の了承を得て掲載しております。
 掲載されている全ての画像の無断複製、利用を禁じます。

ページの先頭へ

所在地/問い合わせ先

所在地
〒509-6102 岐阜県 瑞浪市稲津町萩原1661
TEL.0572-66-3111(代表) 
FAX.0572-66-3100 
ホームページ
https://www.mz.reitaku.jp/
交通アクセス
JR中央本線・瑞浪駅からスクールバスで約15分

麗澤瑞浪高等学校の資料をもらおう

パンフをもらおう

※資料・送料とも無料

株式会社JSコーポレーション 代表取締役社長 米田英一