2024年度入試過去問題(数学 解答)(1ページ目)|神戸山手グローバル高等学校の入試過去問

こうべやまてぐろーばるこうとうがっこう

神戸山手グローバル高等学校

(高等学校 /私立 /共学 /兵庫県神戸市中央区) >>お気に入りに追加する

入試過去問題一覧へ

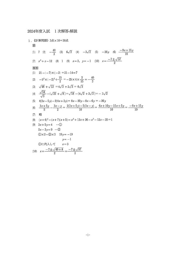
2024年度入試過去問題[1/5]

※掲載している入試過去問題の画像は全て、各学校の了承を得て掲載しております。
 掲載されている全ての画像の無断複製、利用を禁じます。

ページの先頭へ

所在地/問い合わせ先

所在地
〒650-0006 兵庫県 神戸市中央区諏訪山町6-1
TEL.078-341-2133 
FAX.078-341-1882 
ホームページ
https://www.kobeyamate.ed.jp/

株式会社JSコーポレーション 代表取締役社長 米田英一