2025年度入試過去問題 (数学 問題)(1ページ目)|玉川聖学院高等部の入試過去問

たまがわせいがくいんこうとうぶ

玉川聖学院高等部

(高等学校 /私立 /女子校 /東京都世田谷区) >>お気に入りに追加する

パンフをもらおう

※ 資料・送料とも無料

入試過去問題一覧へ

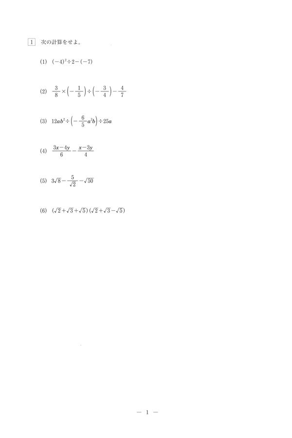
2025年度入試過去問題 [1/6]

※掲載している入試過去問題の画像は全て、各学校の了承を得て掲載しております。
 掲載されている全ての画像の無断複製、利用を禁じます。

ページの先頭へ

所在地/問い合わせ先

所在地
〒158-0083 東京都 世田谷区奥沢7-11-22
TEL.03-3702-4141 
FAX.03-3702-8002 
ホームページ
https://tamasei.ed.jp/
交通アクセス
・東急
東横線「自由が丘」駅下車、徒歩約6分。
大井線「九品仏」駅下車、徒歩約3分。

玉川聖学院高等部の資料をもらおう

パンフをもらおう

※資料・送料とも無料

株式会社JSコーポレーション 代表取締役社長 米田英一