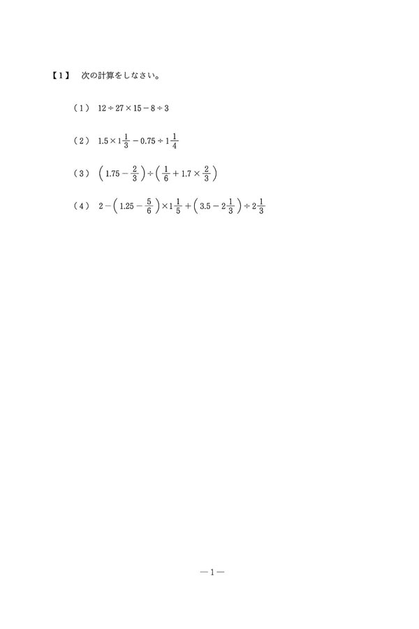
平成30年度入試過去問題 第1回(算数 問題)(1ページ目)|国学院大学久我山中学校の入試過去問

こくがくいんだいがくくがやまちゅうがっこう

国学院大学久我山中学校

(中学校 /私立 /共学 /東京都杉並区) >>お気に入りに追加する

パンフをもらおう

※ 資料・送料とも無料

入試過去問題一覧へ

平成30年度入試過去問題 第1回[1/4]

※掲載している入試過去問題の画像は全て、各学校の了承を得て掲載しております。
 掲載されている全ての画像の無断複製、利用を禁じます。

ページの先頭へ

所在地/問い合わせ先

所在地
〒168-0082 東京都 杉並区久我山1-9-1
TEL.03-3334-1151(代表) 
FAX.03-3335-1156 
ホームページ
https://www.kugayama-h.ed.jp/
交通アクセス
■京王井の頭線
「久我山」駅南口より徒歩12分
■京王線
「千歳烏山」駅より関東バス「久我山病院」行(約10分)「国学院前」下車すぐ
■JR中央線
「三鷹」駅南口より京王バス「久我山駅」行(約14分)「御嶽神社」下車徒歩3分

国学院大学久我山中学校の資料をもらおう

パンフをもらおう

※資料・送料とも無料

株式会社JSコーポレーション 代表取締役社長 米田英一