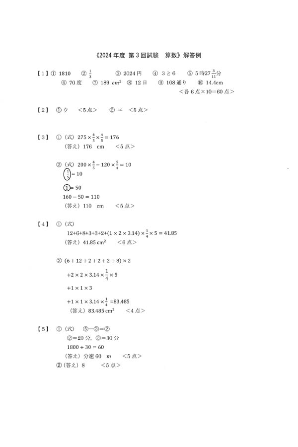
2024年度入試過去問題  第3回(算数 解答)(1ページ目)|カリタス女子中学校の入試過去問

かりたすじょしちゅうがっこう

カリタス女子中学校

(中学校 /私立 /女子校 /神奈川県川崎市多摩区) >>お気に入りに追加する

パンフをもらおう

※ 資料・送料とも無料

入試過去問題一覧へ

2024年度入試過去問題  第3回[1/1]

※掲載している入試過去問題の画像は全て、各学校の了承を得て掲載しております。
 掲載されている全ての画像の無断複製、利用を禁じます。

ページの先頭へ

所在地/問い合わせ先

所在地
〒214-0012 神奈川県 川崎市多摩区中野島4-6-1
TEL.044-911-4656 
カリタス女子中学高等学校 
FAX.044-911-9517 
ホームページ
https://www.caritas.ed.jp/
交通アクセス
JR南武線「中野島駅」下車徒歩10分
小田急線、JR南武線「登戸駅」下車徒歩20分、またはバス5分

カリタス女子中学校の資料をもらおう

パンフをもらおう

※資料・送料とも無料

株式会社JSコーポレーション 代表取締役社長 米田英一