2024年度入試過去問題 A1日程(算数 問題)(1ページ目)|関西大倉中学校の入試過去問

かんさいおおくらちゅうがっこう

関西大倉中学校

(中学校 /私立 /共学 /大阪府茨木市) >>お気に入りに追加する

パンフをもらおう

※ 資料・送料とも無料

入試過去問題一覧へ

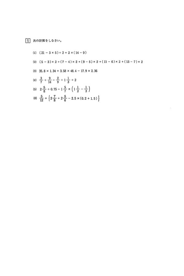
2024年度入試過去問題 A1日程[1/4]

※掲載している入試過去問題の画像は全て、各学校の了承を得て掲載しております。
 掲載されている全ての画像の無断複製、利用を禁じます。

ページの先頭へ

所在地/問い合わせ先

所在地
〒567-0052 大阪府 茨木市室山2-14-1
TEL.072-643-6321 
FAX.072-643-8375 
ホームページ
https://www.kankura.jp/
交通アクセス
各駅よりスクールバスあり(約20分~25分)
・阪急
京都線茨木市駅
千里線北千里駅
宝塚線石橋阪大前駅
・JR
京都線茨木駅
・北大阪急行・大阪モノレール
千里中央駅

関西大倉中学校の資料をもらおう

パンフをもらおう

※資料・送料とも無料

株式会社JSコーポレーション 代表取締役社長 米田英一