入試過去問(問題)(1ページ目)|神戸国際中学校の入試過去問

こうべこくさいちゅうがっこう

神戸国際中学校

(中学校 /私立 /女子校 /兵庫県神戸市須磨区) >>お気に入りに追加する

パンフをもらおう

※ 資料・送料とも無料

入試過去問題一覧へ

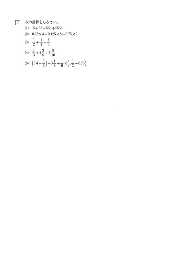
2025年度入試過去問題(A-I選考)[1/6]

※掲載している入試過去問題の画像は全て、各学校の了承を得て掲載しております。
 掲載されている全ての画像の無断複製、利用を禁じます。

ページの先頭へ

所在地/問い合わせ先

所在地
〒654-0081 兵庫県 神戸市須磨区高倉台7-21-1
TEL.078-731-4665 
FAX.078-731-4888 
ホームページ
https://kis.ed.jp/
交通アクセス
■JR・山陽電鉄須磨駅から
市営バス75系統で15分、「高倉台7丁目」下車
■地下鉄西神線妙法寺駅から
市営バス75系統で6分、「高倉台7丁目」下車

神戸国際中学校の資料をもらおう

パンフをもらおう

※資料・送料とも無料

株式会社JSコーポレーション 代表取締役社長 米田英一