令和7年度入試過去問題(一般入試A)(算数 問題)(1ページ目)|智辯学園中学校の入試過去問

ちべんがくえんちゅうがっこう

智辯学園中学校

(中学校 /私立 /共学 /奈良県五條市) >>お気に入りに追加する

入試過去問題一覧へ

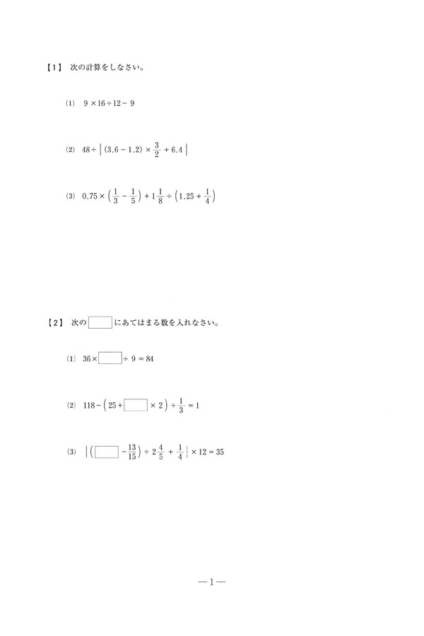
令和7年度入試過去問題(一般入試A)[1/7]

※掲載している入試過去問題の画像は全て、各学校の了承を得て掲載しております。
 掲載されている全ての画像の無断複製、利用を禁じます。

ページの先頭へ

所在地/問い合わせ先

所在地
〒637-0037 奈良県 五條市野原中4丁目1番51号
TEL.0747-22-3191(代) 
FAX.0747-24-4057 
ホームページ
https://www.chiben.ac.jp/gojo
交通アクセス
最寄り駅:JR和歌山線「五条駅」
1.奈良交通バス:JR「五条駅」⇒学園〈約15分〉
2.学園直行バス
(1)南海線「林間田園都市駅」⇒学園〈約30分〉
(2)南海線「御幸辻駅」⇒学園〈約20分〉
(3)岩出「ホテルいとう」前⇒学園〈約70分〉
(4)JR和歌山線「粉河駅」⇒学園〈約40分〉
(5)JR和歌山線「笠田駅」⇒学園〈約30分〉
(6)近鉄吉野線「福神駅」⇒学園〈約25分〉
(7)近鉄御所線「近鉄新庄駅」⇒学園〈約45分〉
(8)近鉄橿原線「橿原神宮前駅」⇒学園〈約70分〉
※福神駅経由
(9)近鉄大阪線「大和八木駅」⇒学園〈約65分〉

株式会社JSコーポレーション 代表取締役社長 米田英一