入試過去問(問題)(1ページ目)|智辯学園奈良カレッジ中学部の入試過去問

ちべんがくえんならかれっじちゅうがくぶ

智辯学園奈良カレッジ中学部

(中学校 /私立 /共学 /奈良県香芝市) >>お気に入りに追加する

パンフをもらおう

※ 資料・送料とも無料

入試過去問題一覧へ

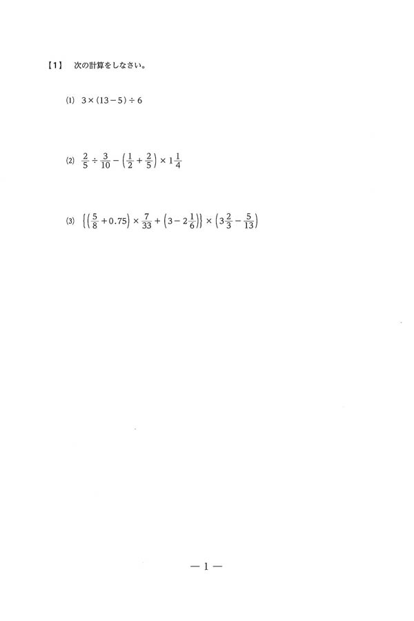
令和6年度入試過去問題 一般入試A[1/9]

※掲載している入試過去問題の画像は全て、各学校の了承を得て掲載しております。
 掲載されている全ての画像の無断複製、利用を禁じます。

ページの先頭へ

所在地/問い合わせ先

所在地
〒639-0253 奈良県 香芝市田尻265番地
TEL.0745-79-1111((代)) 
FAX.0745-79-8852 
ホームページ
https://www.chiben.ac.jp/naracollege
交通アクセス
・近鉄大阪線「関屋」駅からスクールバス約5分
・近鉄南大阪線「上ノ太子」駅、JR大和路線「高井田」駅からスクールバス各々約15分

智辯学園奈良カレッジ中学部の資料をもらおう

パンフをもらおう

※資料・送料とも無料

株式会社JSコーポレーション 代表取締役社長 米田英一