入試過去問(問題)(1ページ目)|神戸龍谷高等学校の入試過去問

こうべりゅうこくこうとうがっこう

神戸龍谷高等学校

(高等学校 /私立 /共学 /兵庫県神戸市中央区) >>お気に入りに追加する

パンフをもらおう

※ 資料・送料とも無料

入試過去問題一覧へ

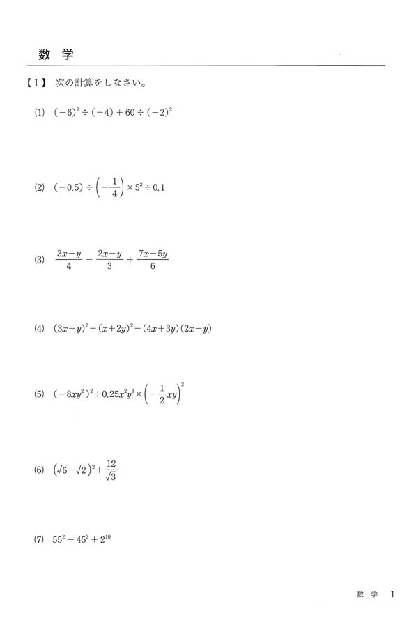
令和6年度入試過去問題[1/6]

※掲載している入試過去問題の画像は全て、各学校の了承を得て掲載しております。
 掲載されている全ての画像の無断複製、利用を禁じます。

ページの先頭へ

所在地/問い合わせ先

所在地
〒651-0052 兵庫県 神戸市中央区中島通5-3-1
TEL.078-241-0076 
FAX.078-241-5546 
ホームページ
https://www.koberyukoku.ed.jp/
交通アクセス
・「三ノ宮」駅または阪急「六甲」駅より、市バス2系統または18系統に乗車し「青谷」で下車、徒歩5分
・阪急「王子公園」駅より徒歩20分
・地下鉄「新神戸」駅より徒歩20分

神戸龍谷高等学校の資料をもらおう

パンフをもらおう

※資料・送料とも無料

株式会社JSコーポレーション 代表取締役社長 米田英一