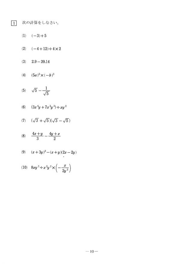
平成27年度入試過去問題(数学 問題)(1ページ目)|神戸学院大学附属高等学校の入試過去問

こうべがくいんだいがくふぞくこうとうがっこう

神戸学院大学附属高等学校

(高等学校 /私立 /共学 /兵庫県神戸市中央区) >>お気に入りに追加する

入試過去問題一覧へ

平成27年度入試過去問題[1/6]

※掲載している入試過去問題の画像は全て、各学校の了承を得て掲載しております。
 掲載されている全ての画像の無断複製、利用を禁じます。

ページの先頭へ

所在地/問い合わせ先

所在地
〒650-0046 兵庫県 神戸市中央区港島中町4-6-3
TEL.078-302-2016 
FAX.078-302-9380 
ホームページ
https://www.kobegakuin-f.ed.jp/
交通アクセス
ポートライナーみなとじま駅 徒歩約1分

株式会社JSコーポレーション 代表取締役社長 米田英一