令和6年度入試過去問題(数学 問題)(1ページ目)|神戸星城高等学校の入試過去問

こうべせいじょうこうとうがっこう

神戸星城高等学校

(高等学校 /私立 /共学 /兵庫県神戸市須磨区) >>お気に入りに追加する

パンフをもらおう

※ 資料・送料とも無料

入試過去問題一覧へ

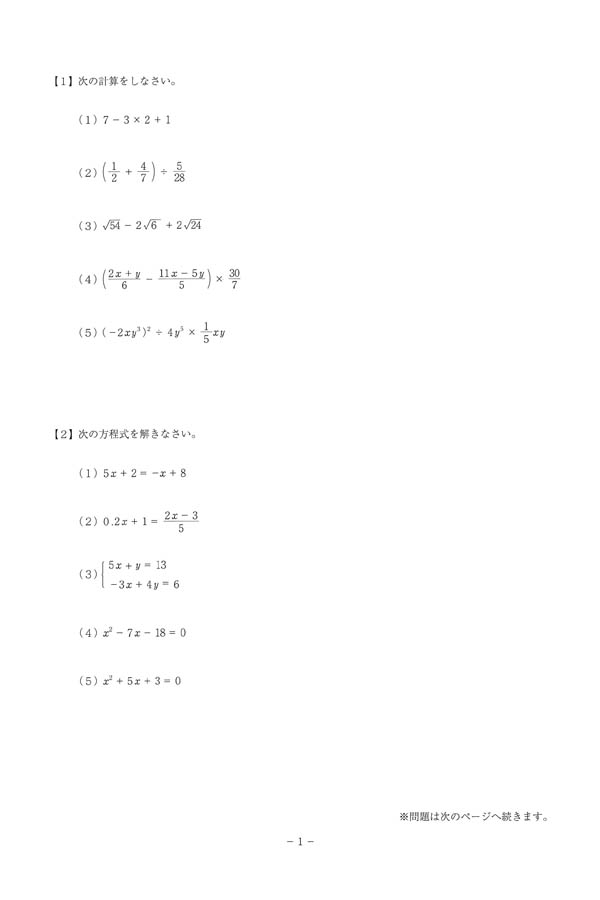
令和6年度入試過去問題[1/6]

※掲載している入試過去問題の画像は全て、各学校の了承を得て掲載しております。
 掲載されている全ての画像の無断複製、利用を禁じます。

ページの先頭へ

所在地/問い合わせ先

所在地
〒654-0113 兵庫県 神戸市須磨区緑が丘1丁目12-1
TEL.078-741-1860 
FAX.078-741-6304 
ホームページ
https://www.seijoh.ac.jp/
交通アクセス
・市営地下鉄妙法寺駅下車北東へ約900m
・地域により、2コースのスクールバスあり
・市営バス広畑橋バス停東へ約500m、緑ヶ丘1バス停東へ約100m

神戸星城高等学校の資料をもらおう

パンフをもらおう

※資料・送料とも無料

株式会社JSコーポレーション 代表取締役社長 米田英一