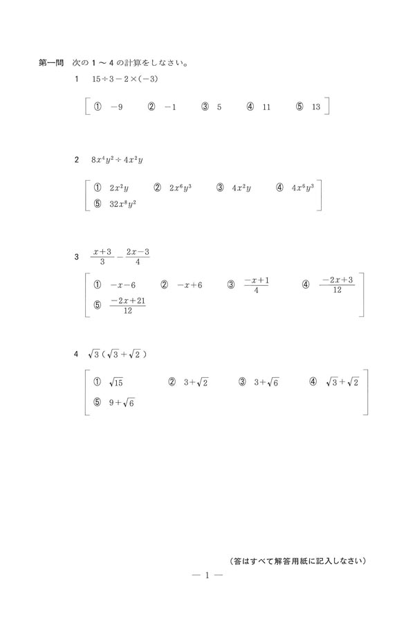
2020年度入試過去問題 B日程(数学 問題)(1ページ目)|仙台育英学園高等学校の入試過去問

せんだいいくえいがくえんこうとうがっこう

仙台育英学園高等学校

(高等学校 /私立 /共学 /宮城県仙台市宮城野区) >>お気に入りに追加する

入試過去問題一覧へ

2020年度入試過去問題 B日程[1/5]

※掲載している入試過去問題の画像は全て、各学校の了承を得て掲載しております。
 掲載されている全ての画像の無断複製、利用を禁じます。

ページの先頭へ

所在地/問い合わせ先

所在地
〒983-0045 宮城県 仙台市宮城野区宮城野2-4-1
TEL.022-256-4141 
FAX.022-385-5024 
ホームページ
https://www.sendaiikuei.ed.jp/
交通アクセス
宮城野校舎:JR仙石線宮城野原駅下車徒歩1分
多賀城校舎:JR仙石線中野栄駅下車徒歩6分
ILC青森 :本八戸駅下車バス15分
沖縄校舎 :沖縄市朝屋2丁目6-17

株式会社JSコーポレーション 代表取締役社長 米田英一