令和7年度入試過去問題(一般)(数学 問題)(1ページ目)|崇徳高等学校の入試過去問

そうとくこうとうがっこう

崇徳高等学校

(高等学校 /私立 /共学 /広島県広島市西区) >>お気に入りに追加する

入試過去問題一覧へ

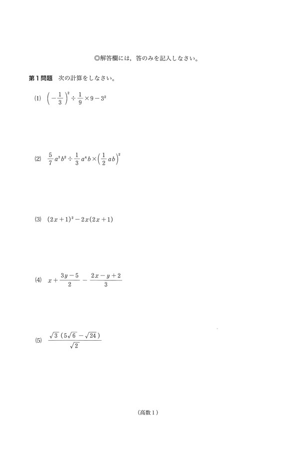
令和7年度入試過去問題(一般)[1/9]

※掲載している入試過去問題の画像は全て、各学校の了承を得て掲載しております。
 掲載されている全ての画像の無断複製、利用を禁じます。

ページの先頭へ

所在地/問い合わせ先

所在地
〒733-8511 広島県 広島市西区楠木町4-15-13
TEL.082-237-9331(代表) 
FAX.082-230-2897 
ホームページ
https://www.sotoku.ed.jp/
交通アクセス
JR「新白島駅」より徒歩約8分。
アストラムライン「白島駅」より徒歩約5分。
三條3丁目バス停より徒歩約5分。

株式会社JSコーポレーション 代表取締役社長 米田英一