2021年度入試過去問題 第2回(数学 問題)(1ページ目)|品川エトワール女子高等学校の入試過去問

しながわえとわーるじょしこうとうがっこう

品川エトワール女子高等学校

(高等学校 /私立 /女子校 /東京都品川区) >>お気に入りに追加する

パンフをもらおう

※ 資料・送料とも無料

入試過去問題一覧へ

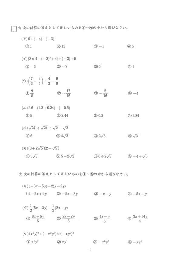
2021年度入試過去問題 第2回[1/6]

※掲載している入試過去問題の画像は全て、各学校の了承を得て掲載しております。
 掲載されている全ての画像の無断複製、利用を禁じます。

ページの先頭へ

所在地/問い合わせ先

所在地
〒140-0004 東京都 品川区南品川5-12-4
TEL.03-3474-2231 
FAX.03-3474-2228 
ホームページ
https://www.etoile.ed.jp/
交通アクセス
・京浜急行線
「青物横丁」駅下車、徒歩約2分。
・JR
京浜東北線「大井町」駅下車、徒歩約6分。
・東急
大井町線「大井町」駅下車、徒歩約6分。
・りんかい線
「大井町」駅下車、徒歩約6分。
「品川シーサイド」駅下車、徒歩約10分。

品川エトワール女子高等学校の資料をもらおう

パンフをもらおう

※資料・送料とも無料

株式会社JSコーポレーション 代表取締役社長 米田英一