2024年度入試過去問題   II 期(算数 問題)(1ページ目)|日出学園中学校の入試過去問

ひのでがくえんちゅうがっこう

日出学園中学校

(中学校 /私立 /共学 /千葉県市川市) >>お気に入りに追加する

パンフをもらおう

※ 資料・送料とも無料

入試過去問題一覧へ

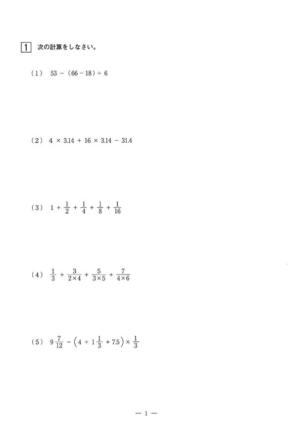
2024年度入試過去問題   II 期[1/9]

※掲載している入試過去問題の画像は全て、各学校の了承を得て掲載しております。
 掲載されている全ての画像の無断複製、利用を禁じます。

ページの先頭へ

所在地/問い合わせ先

所在地
〒272-0824 千葉県 市川市菅野3-23-1
TEL.047-324-0071((学園業務部)) 
FAX.047-324-0076 
ホームページ
https://www.hinode.ed.jp/
交通アクセス
・京成線
「菅野駅」より徒歩5分
・JR総武線
「市川駅」北口より徒歩15分
・JR総武線・都営新宿線
「本八幡駅」北口より徒歩20分

日出学園中学校の資料をもらおう

パンフをもらおう

※資料・送料とも無料

株式会社JSコーポレーション 代表取締役社長 米田英一