平成26年度入試過去問題 後期(算数 問題)(1ページ目)|高槻中学校の入試過去問

たかつきちゅうがっこう

高槻中学校

(中学校 /私立 /共学 /大阪府高槻市) >>お気に入りに追加する

入試過去問題一覧へ

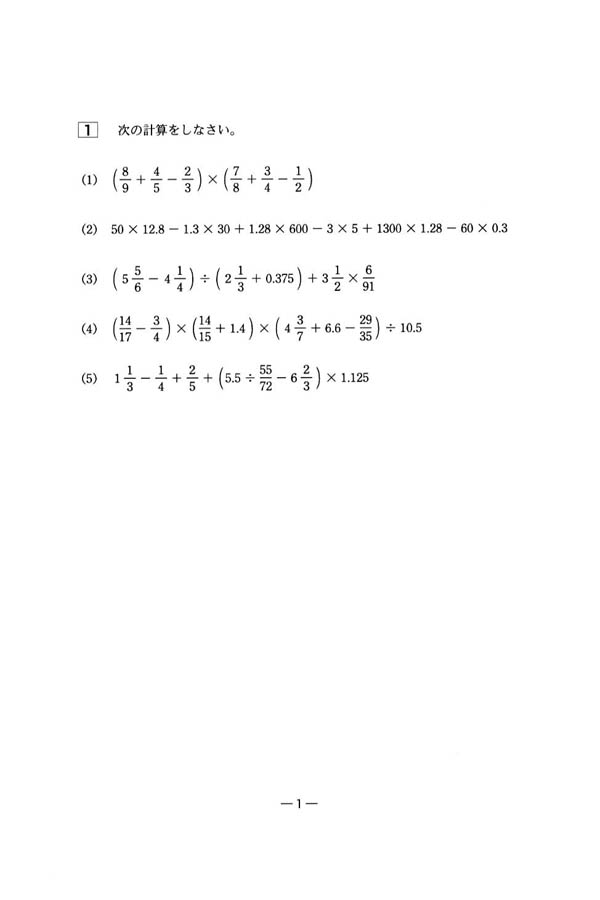
平成26年度入試過去問題 後期[1/7]

※掲載している入試過去問題の画像は全て、各学校の了承を得て掲載しております。
 掲載されている全ての画像の無断複製、利用を禁じます。

ページの先頭へ

所在地/問い合わせ先

所在地
〒569-8505 大阪府 高槻市沢良木町2-5
TEL.072-671-0001 
FAX.072-671-0081 
ホームページ
https://www.takatsuki.ed.jp/
交通アクセス
・阪急京都線「高槻市」駅徒歩7分。
・JR東海道本線「高槻」駅徒歩16分。
・京阪バス・高槻市バス「松原」下車すぐ。

株式会社JSコーポレーション 代表取締役社長 米田英一