令和7年度入試過去問題(数学 問題)(1ページ目)|椙山女学園高等学校の入試過去問

すぎやまじょがくえんこうとうがっこう

椙山女学園高等学校

(高等学校 /私立 /女子校 /愛知県名古屋市千種区) >>お気に入りに追加する

入試過去問題一覧へ

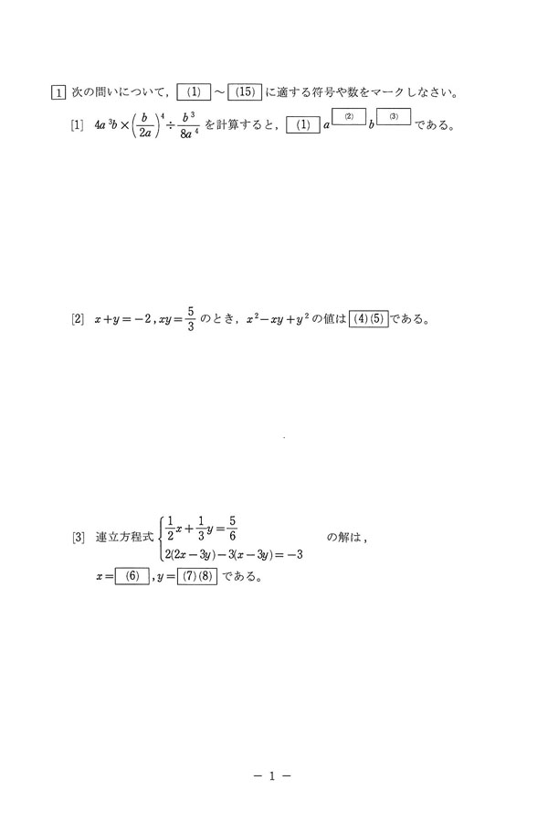
令和7年度入試過去問題[1/8]

※掲載している入試過去問題の画像は全て、各学校の了承を得て掲載しております。
 掲載されている全ての画像の無断複製、利用を禁じます。

ページの先頭へ

所在地/問い合わせ先

所在地
〒464-0832 愛知県 名古屋市千種区山添町2-2
TEL.052-751-8131 
FAX.052-761-1373 
ホームページ
https://www.sugiyama-u.ac.jp/high/
交通アクセス
<地下鉄>
東山線「覚王山」駅下車4番出口より徒歩7分
<バス>
・金山11「田代本通」下車 徒歩5分、「覚王山」下車 徒歩7分
・名駅17「日進五丁目」下車 徒歩3分、「田代本通」下車 徒歩5分
・栄16「日進通五丁目」下車 徒歩3分、「田代本通」下車 徒歩5分
・茶屋12「覚王山」下車 徒歩7分
・池下11「覚王山」下車 徒歩7分
・千種巡回「田代本通」下車 徒歩5分、「日進通五丁目」下車 徒歩3分

株式会社JSコーポレーション 代表取締役社長 米田英一